ST/5-HT (Serotonin/5-Hydroxytryptamine) ELISA Kit
Product Sizes
24 tests
E-EL-0033-24T
24 tests
E-EL-0033-24TESTS
48 tests
E-EL-0033-48T
48 tests
E-EL-0033-48TESTS
96 tests
E-EL-0033-96T
96 tests
E-EL-0033-96TESTS
About this Product
- SKU:
- E-EL-0033
- Additional Names:
- 5HT;Enteramine;Thrombocytin;Thrombotonin;3-(B Beta-Aminoethyl)-5-hydroxyindole
- Application:
- ELISA
- Extra Details:
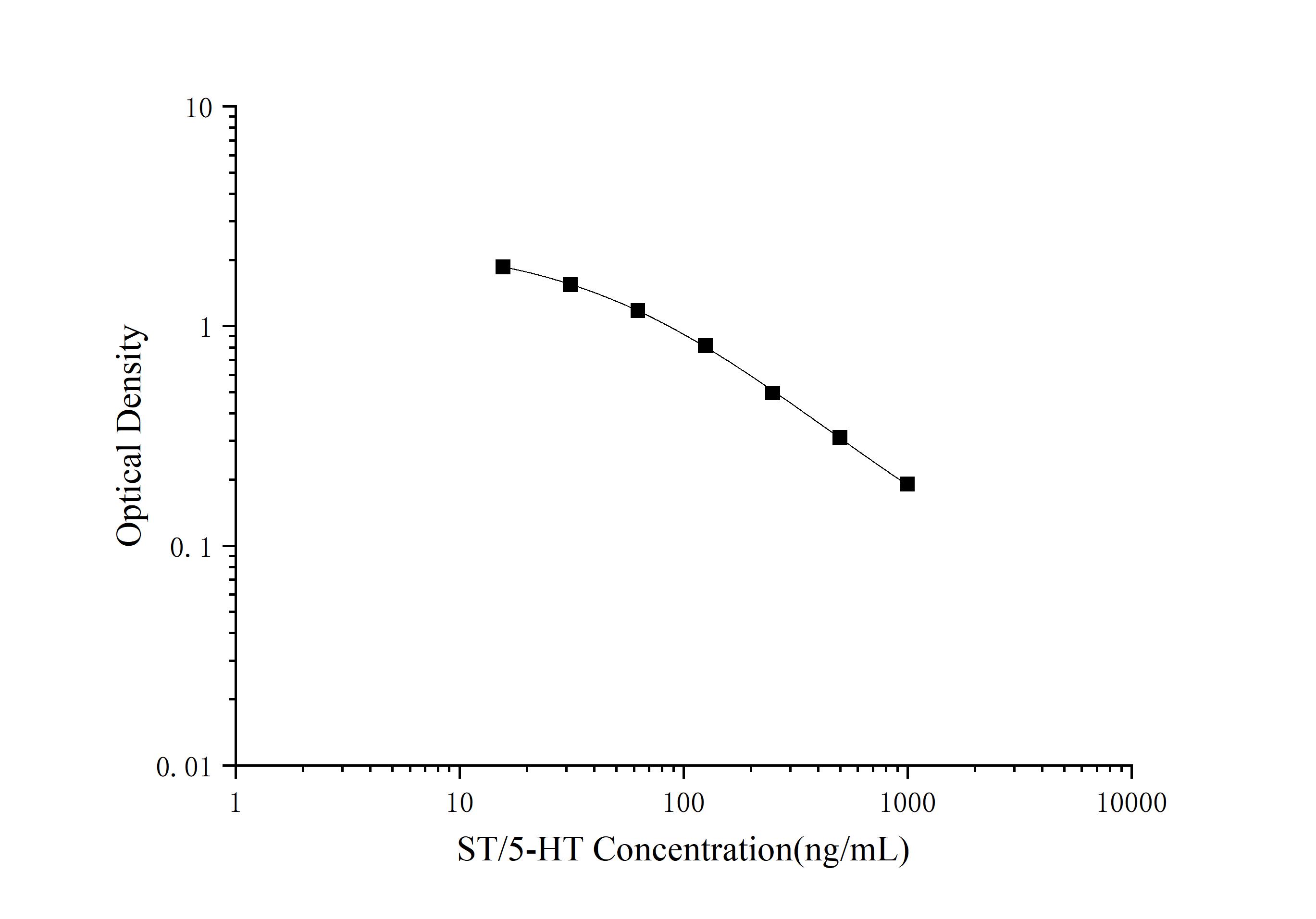
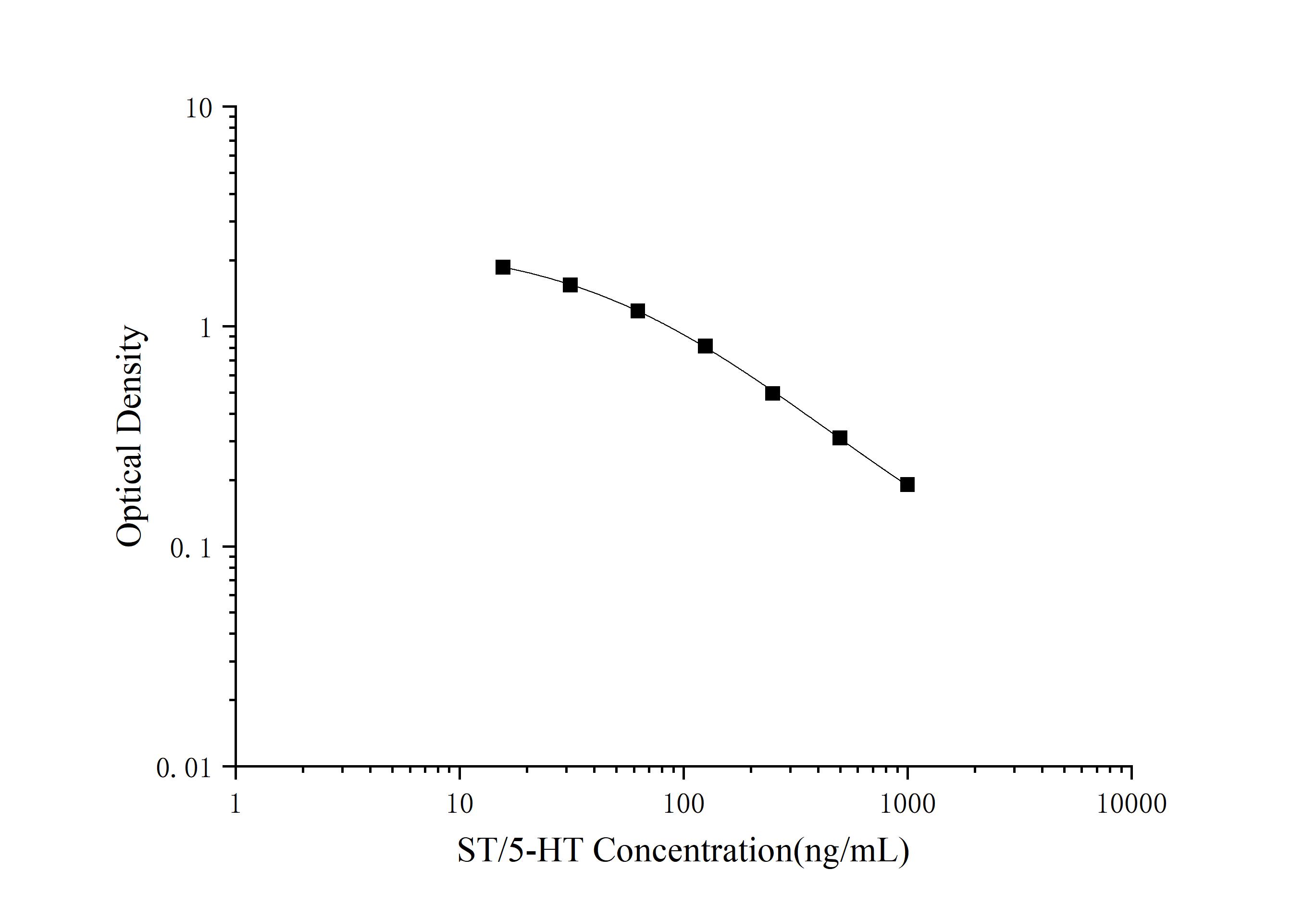
- This ELISA kit applies to the in vitro quantitative determination of ST/5-HT concentrations in serum, plasma and other biological fluids.
- Format:
- Colorimetric method;ELISA;Competitive
- Physical State:
- Other Biological Fluid, Plasma, Serum
- Range:
- 15.63-1000 ng/mL
- Sensitivity:
- 9.38 ng/mL
- Shipping Conditions:
- Blue Ice
- Storage Conditions:
- 2-8[o]C
- Supplier:
- Elabscience
- Type:
- Assay Kits: ELISAs
- Manufacturer's Data Sheet:5_hydroxytryptamine)_elisa_kit-e_el_0033
