Alanine Aminotransferase (ALT/GPT) Activity Fluorometric Assay Kit
Product Sizes
48 tests
E-BC-F038-48T
48 tests
E-BC-F038-48TESTS
96 tests
E-BC-F038-96T
96 tests
E-BC-F038-96TESTS
About this Product
- SKU:
- E-BC-F038
- Additional Names:
- ALT
- Extra Details:
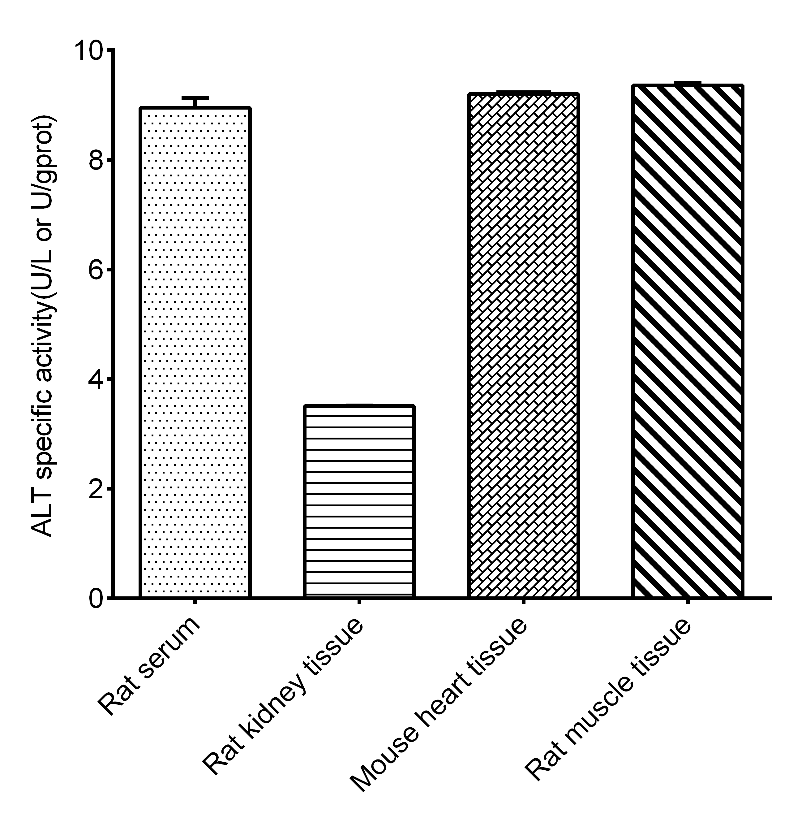
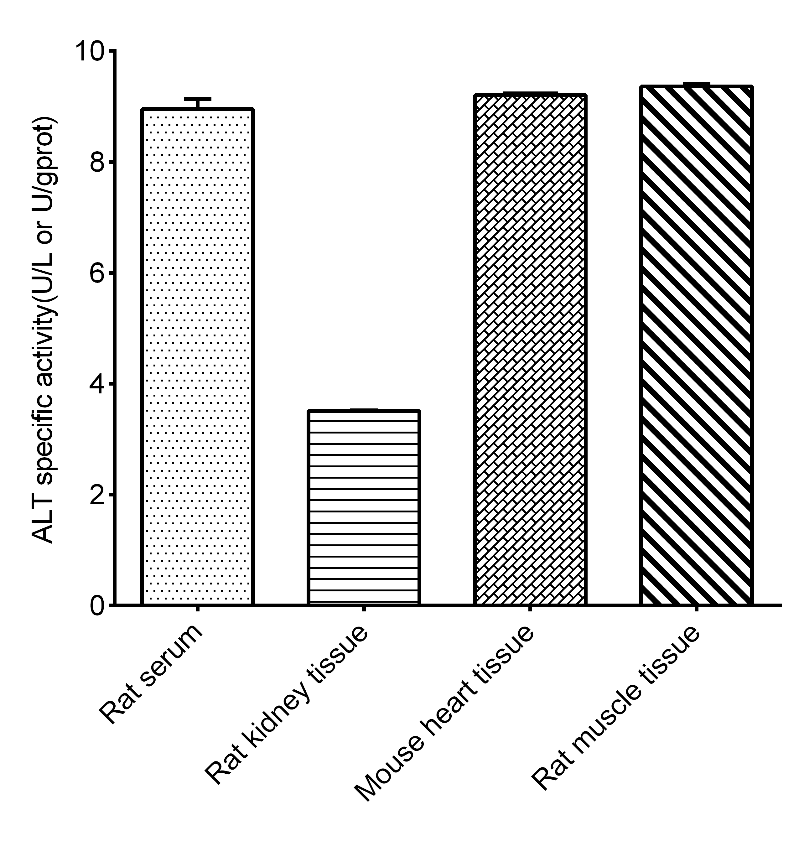
- ALT catalyze the amino conversion reaction between alanine and A Alpha-ketoglutaric acid to produce pyruvic acid and glutamic acid. Under the action of pyruvate oxidase, pyruvic acid generates H2O2, which reacts with the non-fluorescent substance to form fluorescent substance under the action of peroxidase. The activity of ALT can be calculated by measuring the increase of fluorescence value at the excitation wavelength of 535 nm and the emission wavelength of 590 nm.
- Format:
- Fluorometric method
- Physical State:
- Plasma, Serum, Tissue
- Range:
- 0.01-0.83 U/L
- Sensitivity:
- 0.01 U/L
- Shipping Conditions:
- Blue Ice
- Storage Conditions:
- -20[o]C Avoid freeze/thaw cycles. Protect from light.
- Supplier:
- Elabscience
- Type:
- Assay Kits: Detection
- Manufacturer's Data Sheet:gpt)_activity_fluorometric_assay_kit-e_bc_f038
