Total Cholesterol and Cholesteryl Ester Fluorometric Assay Kit
Product Sizes
48 tests
E-BC-F032-48T
48 tests
E-BC-F032-48TESTS
96 tests
E-BC-F032-96T
96 tests
E-BC-F032-96TESTS
About this Product
- SKU:
- E-BC-F032
- Extra Details:
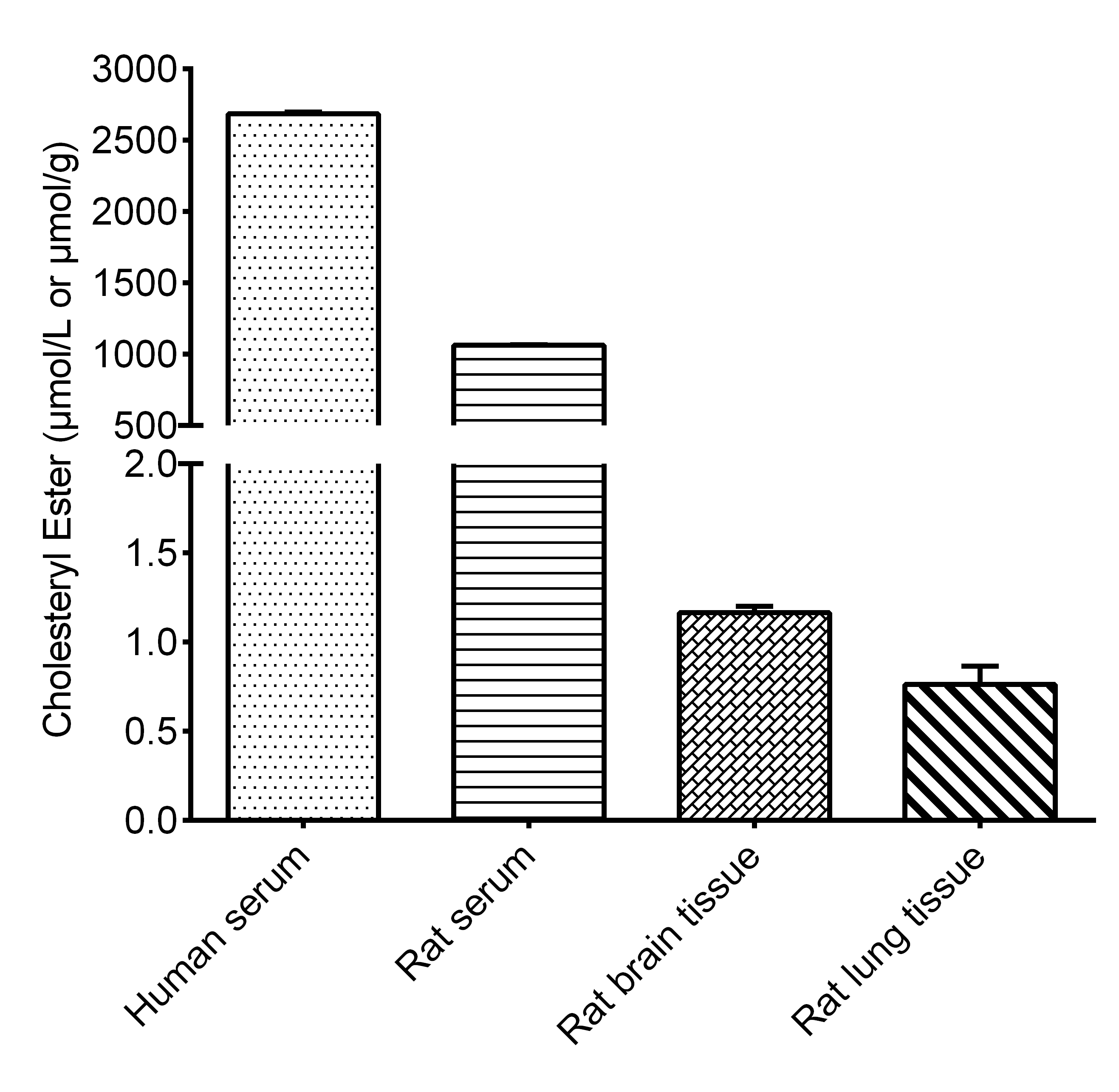
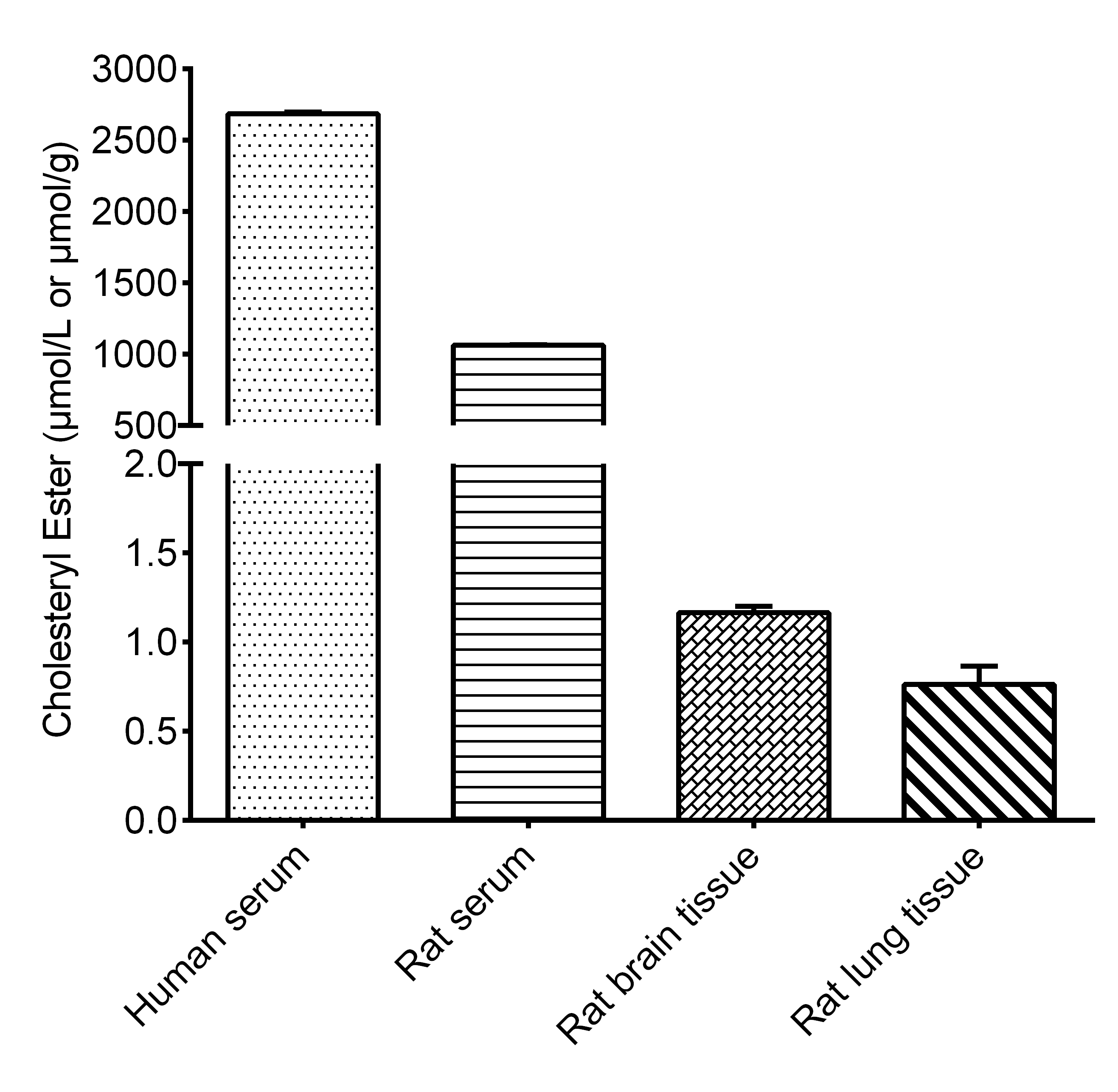
- Total Cholesterol (TC) includes free cholesterol (FC) and cholesteryl esters (CE). Cholesterol ester can be hydrolyzed by cholesterol esterase to produce cholesterol and free fatty acid. Cholesterol is oxidized by cholesterol oxidase to produce 4-cholestenone and hydrogen peroxide. In the presence of the enzyme and probe, hydrogen peroxide can be catalyzed to produce the fluorescence substrate. The fluorescence intensity at the excitation wavelength of 535 nm and emission wavelength of 590 nm is proportional to the cholesterol concentration.
- Format:
- Fluorometric method
- Physical State:
- Cells, Plasma, Serum, Tissue
- Range:
- 0.12-30 umol/L
- Sensitivity:
- 0.12 umol/L
- Shipping Conditions:
- Blue Ice
- Storage Conditions:
- -20[o]C Avoid freeze/thaw cycles. Protect from light.
- Supplier:
- Elabscience
- Type:
- Assay Kits: Detection
- Manufacturer's Data Sheet:p-total_cholesterol_and_cholesteryl_ester_fluorometric_assay_kit-e_bc_f032
