Xanthine Oxidase (XOD) Activity Fluorometric Assay Kit
Product Sizes
96 tests
E-BC-F019-96T
96 tests
E-BC-F019-96TESTS
500 assays
E-BC-F019-500ASSAYS
About this Product
- SKU:
- E-BC-F019
- Additional Names:
- XOD
- Extra Details:
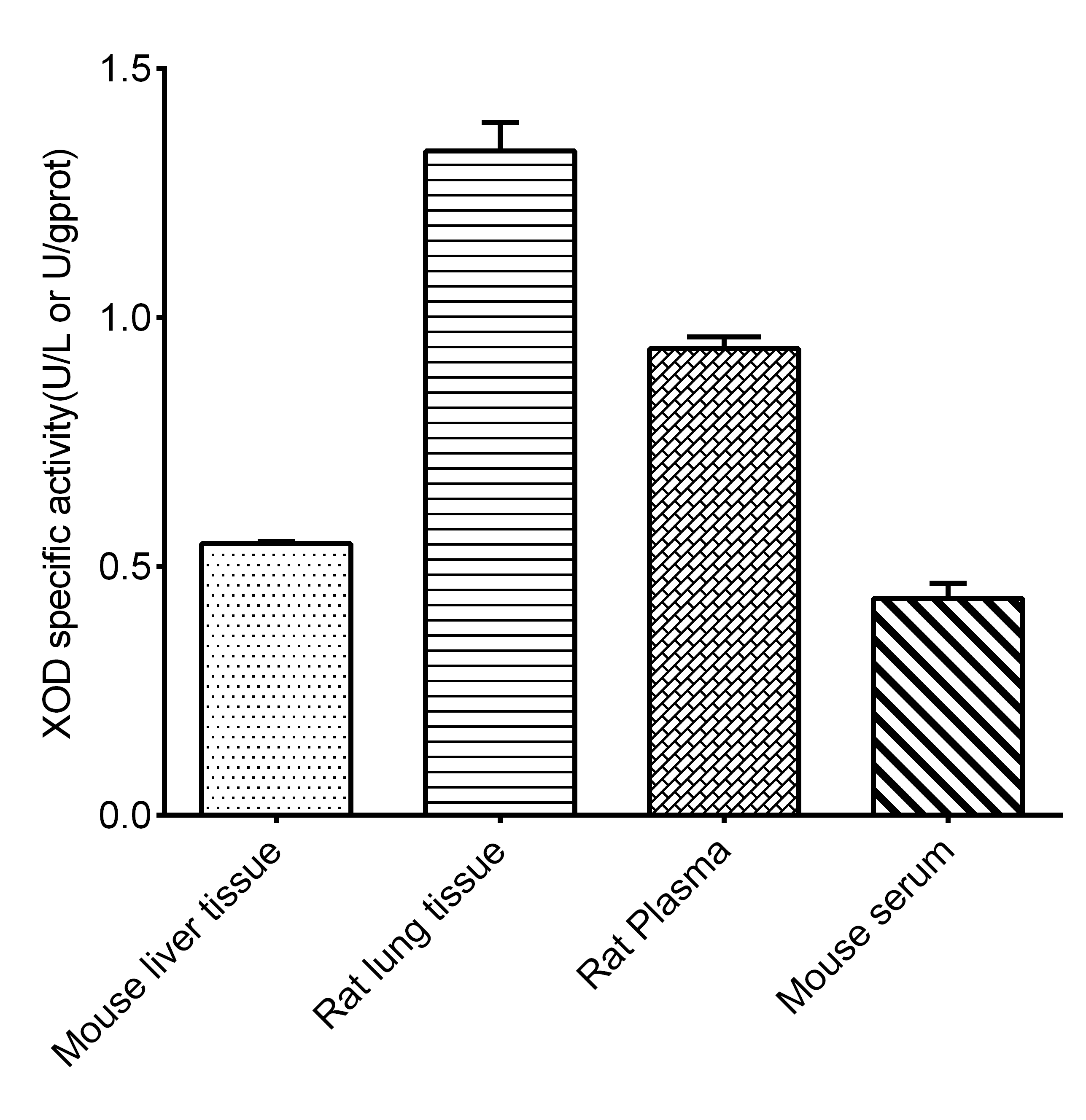
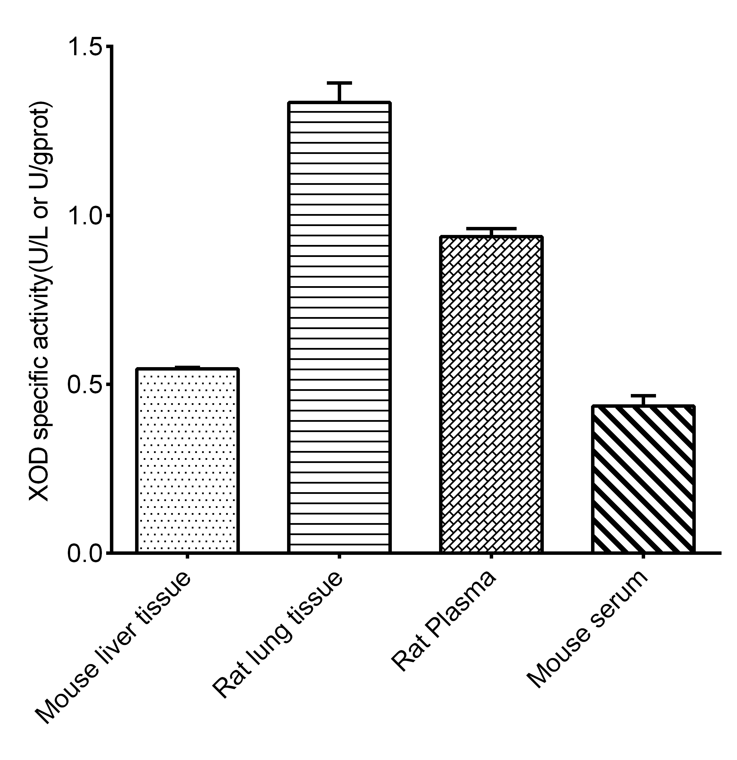
- Hypoxanthine are oxidized by xanthine oxidase (XOD) to produce xanthine and super oxygen anion, which will quickly converte to hydrogen peroxide in the system, and then, in the role of peroxidase, hydrogen peroxide can oxidize the non-fluorescent probe to fluorescent substance. By measuring the fluorescence value, the corresponding the activity of xanthine oxidase can be calculated.
- Format:
- Fluorometric method
- Physical State:
- Plasma, Serum, Tissue
- Range:
- 0.01 -1.2 U/L
- Sensitivity:
- 0.01 U/L
- Shipping Conditions:
- Blue Ice
- Storage Conditions:
- -20[o]C Avoid freeze/thaw cycles. Protect from light.
- Supplier:
- Elabscience
- Type:
- Assay Kits: Detection
- Manufacturer's Data Sheet:p-xanthine_oxidase_(xod)_activity_fluorometric_assay_kit-e_bc_f019
